差分で考えるシグマ
差分
$$\displaystyle\sum_{k=0}^n f(k+1)-f(k)=f(n+1)-f(0)$$
差分の仕組み
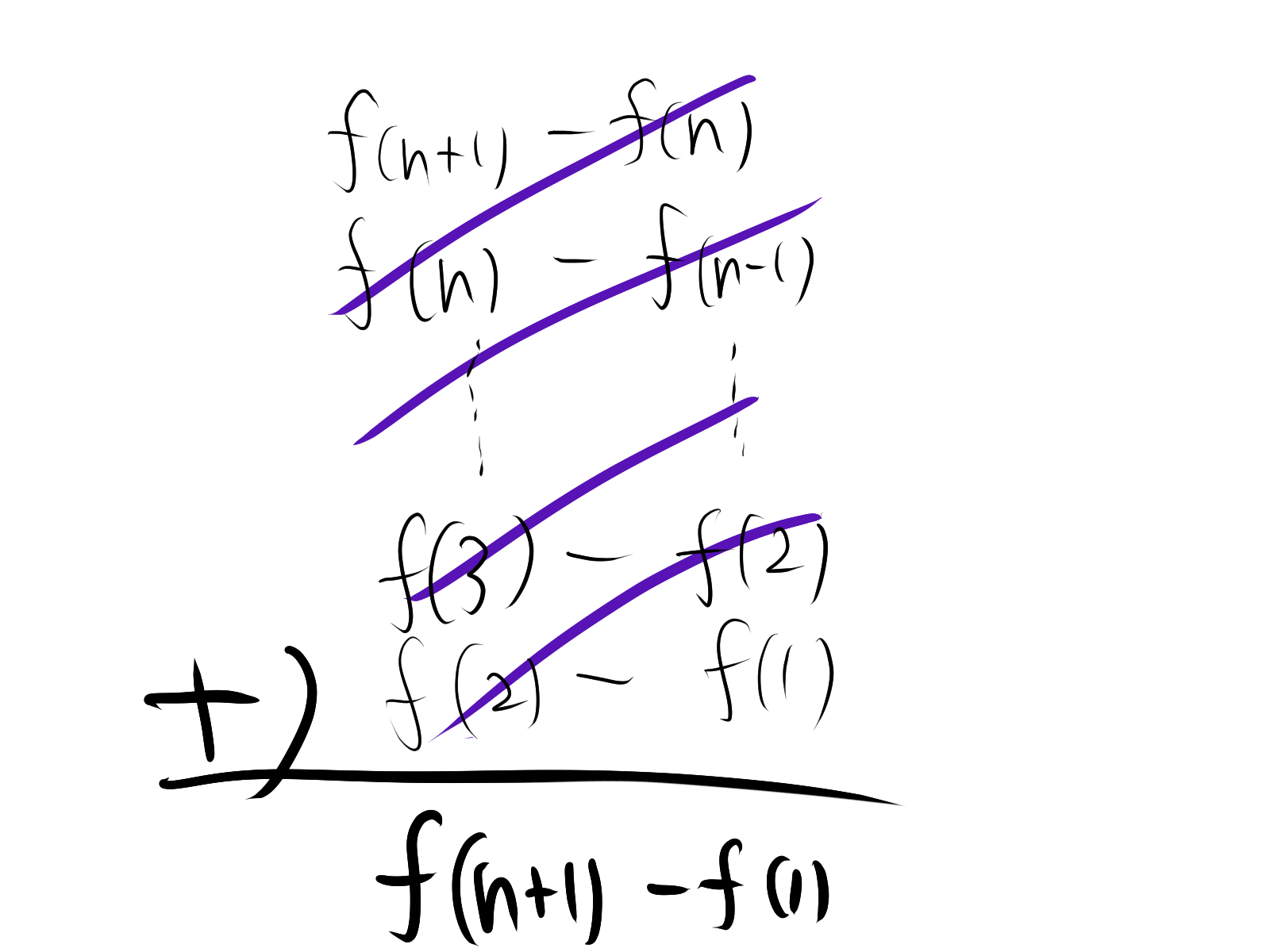
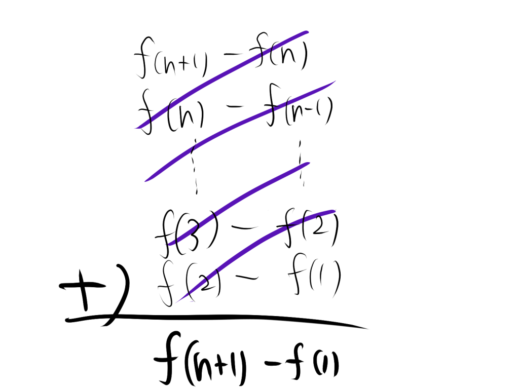
以下のように足し合わせた結果、打ち消しあって、残った部分が$f(n+1)-f(0)$となります。
たとえば、$\displaystyle\sum_{k=1}^n f(k+1)-f(k)$となったときに、同じ考え方で計算すると、以下のようになります。
例題
以下の数列の和を計算せよ。
(1)$\displaystyle\sum_{k=0}^n 2^k$
(2)$\displaystyle\sum_{k=0}^n 3k\cdot2^k$
(3)$\displaystyle\sum_{k=1}^n \dfrac{1}{k(k+2)}$
(1)まずは、ウォーミングアップです。これは通常は等比数列の和で考えてもよいのですが差分で考えると以下のようになります。
$\displaystyle\sum_{k=0}^n 2^k$
$=\displaystyle\sum_{k=0}^n 2\cdot 2^{k-1}$
$=\displaystyle\sum_{k=0}^n (4-2) 2^{k-1}$
$=\displaystyle\sum_{k=0}^n 4\cdot2^{k-1}-2\cdot2^{k-1}$
$=\displaystyle\sum_{k=0}^n 2^{k+1}-2^{k}$
$=2^{n+1}-1$
となります。
(2)コツは、$f(n)$の形を予想するということです。$f(k)=(ak+b)\cdot2^k$であると予想します。
$f(k+1)-f(k)=\lbrace a(k+1)+b\rbrace 2^{k+1}-(ak+b)2^k$
$=(ak+2a+b)2^k$
$f(k+1)-f(k)=3k\cdot2^k$となるから、恒等式より、
$ak=3k$
$2a+b=0$
であることがわかるから、$a=3$,$b=-6$である。
$f(k)=(3k-6)2^k$とおくと、
$\displaystyle\sum_{k=0}^n f(k+1)-f(k)$
$=\lbrace 3(n+1)-6\rbrace2^{n+1}-(-6)$
$=3(n-1)2^{n+1}+6$
(3)$\dfrac{1}{k(k+2)}$に部分分数分解を行うと
$\dfrac{1}{k(k+2)}=\dfrac{1}{2}\left(\dfrac{1}{k}-\dfrac{1}{k+2}\right)$
また、式変形を行うと、
$=-\dfrac{1}{2}\left(\dfrac{1}{k+2}-\dfrac{1}{k}\right)$
$=-\dfrac{1}{2}\left(\dfrac{1}{k+2}+\dfrac{1}{k+1}-\dfrac{1}{k+1}-\dfrac{1}{k}\right)$
となる。$f(k)=\dfrac{1}{k+1}+\dfrac{1}{k}$とおくと、
$\displaystyle\sum_{k=1}^n \dfrac{1}{k(k+2)}$
$=-\dfrac{1}{2}\displaystyle\sum_{k=1}^n f(k+1)-f(k)$
$=-\dfrac{1}{2}\left(\dfrac{1}{n+2}+\dfrac{1}{n+1}-\dfrac{3}{2}\right)$

